sharing
Cari Blog Ini
27 Agustus 2021
Gambarlah grafik , jika diketahui unsur
Gambarlah grafik , jika diketahui unsur berikut
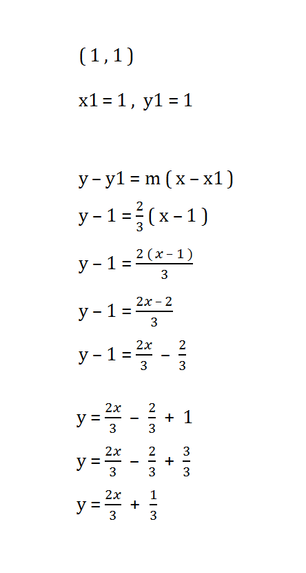
Titik ( 1 , 1 ) dengan kemiringan 2/3.
Jawab :
Titik ( 1 , 1 )
m = 2/3
Posting Lebih Baru
Posting Lama
Beranda